Conecteaza-te cu noi

Administratie

(DOCUMENT) Primăriile din județul Constanța vor primi 34,5 milioane de lei. Consiliul Județean repartizează sumele

Published

on

consiliul judetean constanta

Consiliul Județean Constanța este convocat de președintele Florin Mitroi în ședință extraordinară de îndată pentru data de 05.02.2026, ora 10:00. Ședința se va desfășura în format videoconferință.

Proiecte de hotărâre

  1. Proiect de hotărâre nr. 20/03.02.2026 privind aprobarea Raportului anual aferent anului 2025 cu privire la stadiul măsurilor prevăzute în Planul de Menţinere a Calităţii Aerului în Judeţul Constanţa, perioada 2024 – 2028

Inițiator, Președintele Consiliului Județean Constanța, Florin Mitroi

  1. Proiect de hotărâre nr. 21/03.02.2026 privind repartizarea pe unităţi administrativ-teritoriale, pentru proiecția de buget pe anul 2026, a sumelor aferente cotei de 20% din sume defalcate din TVA pentru echilibrarea bugetelor locale, cât și din sumele alocate din cotele defalcate din impozitul pe venit pentru echilibrarea bugetelor locale, precum şi a estimărilor pentru anii 2027 – 2029, conform art. 33 alin. (3) lit. b) din Legea nr. 273/2006 a finanțelor publice locale, pentru achitarea arieratelor provenite din neplata cheltuielilor de funcționare şi/sau de capital, în ordinea cronologică a vechimii arieratelor, pentru susținerea programelor de dezvoltare locală şi pentru susținerea proiectelor de infrastructură care necesită cofinanțare locală.

Inițiator, Președintele Consiliului Județean Constanța, Florin Mitroi

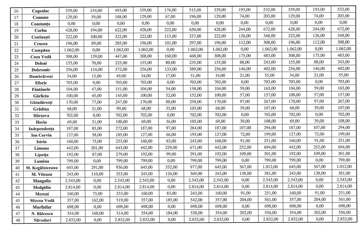
Iată sumele repartizate primăriilor din județul Constanța:

bani primarii

 

bani primarii

 

bani primarii

 

Comentarii pe Facebook

Autentifica-te pe Facebook pentru a comenta

Advertisement





Despre Noi

Știri și investigații din județul Constanța.
Aici găsiți subiectele care contează.

Asociația Puterea Civică

Forma legală: ONG/Asociație
Cod de Identificare Fiscală: 24860568

Adresa: Constanța, Bd. IC Brătianu nr. 48, Bl. G29 (Complex Intim), Et. 1, Biroul 7.

Telefon: 0241.625.564

E-mail: ordinea.ro@gmail.com




Copyright © 2018 Ordinea.RO - Theme by MVP Themes, powered by WordPress. Administrat, Implementat, Optimizat de Takmate Solutions